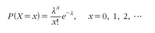
포아송 분포

포아송분포포

길을 가다가 고양이를 볼 확률
희귀질병에 의한 사망자 수
집 전화기에 갑자기 전화가 걸려올 확률

시행횟수(n)은 충분히 크지만 발생가능성(p)는 매우 작은경우


유도공식

Comments

Leave a comment